黄仁勋10月份持续卖出英伟达股票 已套现超1.1亿美元
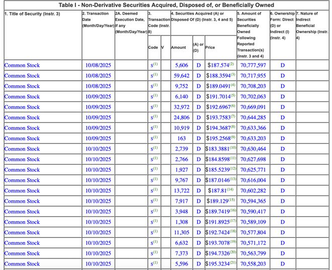
在“AI芯片霸主”英伟达的股价飙升至历史新高之时,“掌门人”黄仁勋在10月份持续出售该股。美东时间10月10日盘后,英伟达提交至美国证券交易委员会(SEC)的文件显示,公司CEO黄仁勋在10月8日至10日期间,通过20笔交易卖出22.5万股股票,套现逾4280万美元。

此前文件显示,今年10月,黄仁勋在10月1日至7日连续五个交易日分别减持7.5万股,套现金额合计逾7024万美元。


照此计算,今年10月以来,英伟达CEO黄仁勋在美国证券交易所通过多次交易减持公司股票,已累计套现超1亿美元,达1.13亿美元。
截至2025年10月10日,黄仁勋仍持有超过7060万股英伟达股票。
今年以来英伟达股价持续上涨 周五暴跌4.89%
自今年4月以来,英伟达股价持续上涨。10月9日英伟达股价一度报195.62美元/股,再创历史新高,总市值一度达到4.73万亿美元。
今年以来,英伟达股价已上涨超过36%,跑赢纳斯达克综合指数的14.98%涨幅。
不过,10月10日美股暴跌之际,英伟达也没能幸免,当日股价跌幅达到4.89%,市值蒸发2286.63亿美元,约合1.63万亿人民币;报收于183.16美元/股,最新市值为4.45万亿美元。

责任编辑:站长云网
踩一下[0]

站长云网
顶一下[0]